GeRnika: An R Package for the Simulation, Visualization and Comparison of Tumor Phylogenies

The development of methods to study intratumoral heterogeneity and tumor phylogenies is a highly active area of research. However, the advancement of these approaches often necessitates access to substantial amounts of data, which can be challenging and expensive to acquire. Moreover, the assessment of results requires tools for visualizing and comparing tumor phylogenies. In this paper, we introduce GeRnika, an R package designed to address these needs by enabling the simulation, visualization, and comparison of tumor evolution data. In summary, GeRnika provides researchers with a user-friendly tool that facilitates the analysis of their approaches aimed at studying tumor composition and evolutionary history.

Aitor Sánchez-Ferrera (Intelligent Systems Group, Computer Science Faculty, University of the Basque Country) , Maitena Tellaetxe-Abete (Intelligent Systems Group, Computer Science Faculty, University of the Basque Country) , Borja Calvo-Molinos (Intelligent Systems Group, Computer Science Faculty, University of the Basque Country)
2026-02-11

1 Introduction

The development of tumors is a complex and dynamic process characterized by a succession of events where DNA mutations accumulate over time. These mutations give rise to genetic diversity within the tumor, leading to the emergence of distinct clonal subpopulations or, simply, clones (Nowell 1976). Each of these subpopulations exhibits unique mutational profiles, resulting in varied phenotypic and behavioral characteristics among the cancer cells (Marass et al. 2016). This phenomenon, known as intratumoral heterogeneity (ITH), significantly hinders the design of effective medical therapies, since different clones within the same tumor may respond differently to treatments, ultimately leading to therapy resistance and disease recurrence (Burrell et al. 2013). To address this challenge, several innovative approaches are being developed to study the tumor composition in greater detail and to reconstruct its evolutionary history.

One common approach to studying tumor composition and phylogeny involves using bulk DNA sequencing data from multiple tumor biopsies. This data is relatively straightforward to obtain and provides a broad overview of the genetic alterations within the tumor. However, using bulk sequencing data in the study of ITH faces the challenge that each sample potentially contains a mixture of different clonal populations rather than just one clone. Consequently, the observed mutation frequencies—measured as variant allele frequencies (VAFs)—do not directly estimate the fraction of individual clones. Instead, the VAF values represent a composite signal: the sum of the fractions of all clones that harbor each mutation in a given sample.

This complexity implies that reconstructing the tumor’s evolutionary history requires deconvolving these clonal admixtures within the samples. This task is precisely the focus of the Clonal Deconvolution and Evolution Problem (CDEP) (Strino et al. 2013; El-Kebir et al. 2015), which can be summarized as determining the tumor’s clonal structure—that is, identifying the number, proportion, and mutational composition of clones in each sample—as well as reconstructing the clonal phylogenetic tree that leads to the observed clonal mosaic. In this context, one of the most prominent approaches to addressing the CDEP is the Variant Allele Frequency Factorization Problem (VAFFP) (El-Kebir et al. 2015).

Given \(s\) tumor samples and \(n\) mutations identified across these samples, we define a matrix \(\boldsymbol{F} \in [0, 1]^{s \times n}\), where each element \(f_{ij}\) represents the variant VAF value, or equivalently, the fraction of cells that carry mutation \(j\) in sample \(i\). The VAFFP seeks to decompose this input matrix \(\boldsymbol{F}\) into two matrices: a matrix \(\boldsymbol{B} \in \{0, 1\}^{n \times n}\) that represents the clonal phylogeny, and a matrix \(\boldsymbol{U} \in [0, 1]^{s \times n}\) that captures the clone proportions in each tumor sample:

\[\boldsymbol{F} = \boldsymbol{U} \cdot \boldsymbol{B} \label{eqF} \tag{1}\]

The \(\boldsymbol{B}\) matrix is a binary square matrix of size \(n\), where \(b_{ij} = 1\) iff clone \(i\) contains the mutation \(j\) (Gusfield 1991). The matrix \(\boldsymbol{U}\) is an \(s \times n\) matrix where \(u_{ij}\) is the fraction of clone \(j\) in sample \(i\).

The VAFFP operates under two key assumptions: tumors have a monoclonal origin, meaning they arise from a single abnormal cell, and the infinite sites assumption (ISA), which states that mutations occur at most once and cannot disappear over time (Kimura 1969). Under these assumptions, the tumor’s clonal structure can be modeled as a perfect phylogeny (Gusfield 1991). This model imposes two key constraints: (1) if two clones share a mutation, they must either be identical or ancestrally related, and (2) once a clone acquires a mutation, that mutation is inherited by all its descendants.

Over the years, numerous methods have been developed to solve the CDEP (Sengupta et al. 2014; Deshwar et al. 2015; Malikic et al. 2015; Popic et al. 2015; Yuan et al. 2015; El-Kebir et al. 2015, 2016; Jiang et al. 2016; Husić et al. 2019; Fu et al. 2022; Grigoriadis et al. 2024), with recent advancements addressing reformulations of the problem that incorporate single-cell sequencing-derived information or variants in metastases, and account for temporal resolution (Ross and Markowetz 2016; El-Kebir et al. 2018; Malikic et al. 2019; Satas et al. 2020; Sollier et al. 2023). These methods primarily focus on reconstructing tumor phylogenies and clonal compositions using both real and simulated data. However, the simulation tools they employ often have limitations. For instance, while MiPUP uses simulated data, it allows only basic parameter adjustments—such as the number of mutations, samples, and reads—and lacks the flexibility to fine-tune biological parameters. BitPhylogeny creates highly realistic and complex simulated datasets representing different modes of evolution, but these simulations are manually crafted and limited in number, posing scalability issues.

Several tools specifically designed for simulating data for the CDEP have also been introduced. Pearsim, written in Python, allows control over parameters like read depth, number of subclones, samples, and mutations (Kulman et al. 2022). OncoLib, a C++ library, facilitates the simulation of tumor heterogeneity and the reconstruction of NGS sequencing data of metastatic tumors, offering control over parameters such as driver mutation probability, per-base sequencing error rate, migration rate, and mutation rate (Qi et al. 2019). Machina, also in C++, provides a framework for simulating metastatic tumors and visualizing their phylogenetic trees and migration graphs (El-Kebir et al. 2018). HeteroGenesis, implemented in Python, simulates heterogeneous tumors at the level of clone genomes, but it is not specifically tailored for CDEP instances and requires additional processing to generate suitable datasets (Tanner et al. 2019).

Visualization of tumor phylogenies is another crucial aspect of studying tumor evolution. Tools like CALDER, Clonevol, SPRUCE, fishplot, ClonArch, and clevRvis offer solutions for visualizing clonal structures and evolutionary trajectories (El-Kebir et al. 2016; Miller et al. 2016; Dang et al. 2017; Myers et al. 2019; Wu and El-Kebir 2020; Sandmann et al. 2023). Among these, fishplot and clevRvis are available as R packages. Additionally, methods for generating consensus trees, such as TuELIP and ConTreeDP, have been developed to summarize multiple phylogenetic trees into a single representative tree (Fu and Schwartz 2021; Guang et al. 2023).

Despite the availability of existing tools, there remains a lack of options in the R programming environment for realistically simulating tumor evolution in a way that is both flexible and user-friendly, while also enabling effective visualization and comparison.

In this paper, we introduce GeRnika, an R package that provides a comprehensive solution for simulating, visualizing, and comparing tumor evolution data. Although GeRnika’s data simulation functionality was primarily devised to create instances for solving the CDEP, the simulated data are not restricted to this purpose and can also be used for exploring evolutionary dynamics in broader contexts. To accommodate diverse research needs, we have implemented the procedures to be highly customizable, allowing users to adjust a wide range of parameters such as the number of clones, selective pressures, mutation rates, and sequencing noise levels. Unlike existing tools that may offer limited customization or are implemented in other programming languages, GeRnika is fully integrated into the R environment, making it easy to use alongside other bioinformatics packages. By combining simulation capabilities with visualization and comparison tools in a user-friendly interface, GeRnika offers an accessible and flexible option within the R ecosystem for researchers studying tumor evolution. It is important to note that GeRnika does not implement algorithms for inferring clonal composition or reconstructing phylogenies from experimental datasets. Instead, it provides a controlled framework for generating, visualizing, and comparing data that can be used to benchmark such methods.

2 Simulation of tumor evolution

The main contribution of this work is the introduction of a novel approach for simulating biologically plausible instances of the VAFFP that accounts for several key factors, including the number of clones, selective pressures, and sequencing noise. In this section, we provide a detailed description of the approach.

Broadly speaking, each problem instance consists of a matrix \(\boldsymbol{F}\) containing the VAF values of a set of mutations in a set of samples, as described previously. This matrix is built from a pair of matrices \(\boldsymbol{B}\) and \(\boldsymbol{U}\) that represent a tumor phylogeny fulfilling the ISA and the proportions of the clones in the samples, respectively, following Equation (1).

In order to simulate the \(\boldsymbol{B}\) and \(\boldsymbol{U}\) matrices, we have devised two models: a tumor model that simulates the evolutionary history and current state of the tumor, and a sampling model that represents the tumor sampling process. A third model, namely the sequencing noise model, has been devised to optionally introduce sequencing noise to the VAF values in the \(\boldsymbol{F}\) matrix, if noisy data is desired. The following subsections describe these models in detail.

Tumor model

The tumor model generates a clonal tree \(T\) and an associated matrix \(\boldsymbol{B}\), together with the clone proportions \(\boldsymbol{c}\) and tumor blend at the moment of sampling. Briefly, for a tumor with a set of \(n\) mutations denoted by \(M\), \(T\) is a rooted tree on an \(n\)-sized vertex set \(V_n = \{v_{1}, \dots, v_{n} \}\), where \(v_{i}\) represents clone \(i\) and simultaneously corresponds to the first clone containing mutation \(M_i\). This one-to-one correspondence between clones and mutations allows us to refer to them interchangeably. The tree is further defined by an \((n-1)\)-sized edge set \(E_T\), where each edge \(e_{ij} \in E_T\) represents a direct ancestral relationship from vertex \(v_{i}\) to vertex \(v_{j}\).

In our tumor model, \(T\) is iteratively generated with a random topology, as follows. First, the root node of \(T\), \(\mathcal R(T)\), is set, and a random mutation \(M_i \in M\) is assigned to it. For each of the remaining \(M_j \in M - \{M_i\}\) mutations, a new node \(v_j\) is created and the mutation \(M_j\) is assigned to this node. The node \(v_j\) is then attached as a child to one of the nodes already included in \(T\). To adhere to the ISA model, each newly added node inherits all the mutations present in its parent node.

The attachment of nodes to the tree is not uniformly random. Instead, the nodes in the growing tree \(T\) have different probabilities of being selected as parents for the new nodes, depending on the number of ascendants, \(\mathcal A(v_i)\), they have. Specifically, \(\forall v_j \neq \mathcal R(T)\), the parent node of \(v_j\) is sampled from a multinomial distribution where the probabilities are calculated as:

\[\boldsymbol{p}(v_i; k) = \frac{k^{\frac{|\mathcal{A}(v_i)| + 1}{\delta}}}{\sum_{v_l \in V'} k^{\frac{|\mathcal{A}(v_l)| + 1}{\delta}}}; \quad v_i \in V'\]

Here, \(\delta\) represents the depth of the growing tree, i.e., the number of levels or layers in the tree structure. \(k \in (0, +\infty)\) is the topology parameter that determines whether the topology tends to be branched, with a decreasing probability for increasing numbers of ascendants (\(k\) \(<\) 1), or linear, with an increasing probability for increasing numbers of ascendants (\(k\) \(>\) 1).

Once \(T\) has been generated, it is represented in the form of a \(\boldsymbol{B}\) matrix, constructed by initializing an identity matrix \(B_{n}\) and setting \(b_{ji}\) to 1 for each pair of nodes \(v_i\) and \(v_j\) where node \(v_j\) is a descendant of node \(v_i\) in \(T\).

After obtaining \(\boldsymbol{B}\), the proportions of the clones in the whole tumor, denoted as \(\boldsymbol{c} = \{c_{1}, \dots, c_{n} \}\), are simulated. It is important to note that these proportions are not the same as those appearing in the \(\boldsymbol{U}\) matrix, which represent the sampled clone proportions and depend not only on the global clone proportions but also on the spatial distribution of the clones and the sampling sites.

These clone proportions \(\boldsymbol{c}\) are calculated by sequentially sampling a Dirichlet distribution at each multifurcation in \(T\), starting from the root. For instance, for a node \(v_i\) with children \(\mathcal K(v_i)\) = {\(v_j\), \(v_k\)}, we draw a sample \((x_i, x_j, x_k)\) that represents the proportions of the parent clone and its two children, respectively, from a Dirichlet distribution \(Dir(\alpha_i, \alpha_j, \alpha_k)\). When this sampling is performed at a node \(v_i \neq \mathcal R(T)\), these proportions are scaled relative to the original proportion of the parent clone. This ensures that the sum rule is met, and that once all multifurcations have been visited, the proportions of all clones in \(T\) sum up to one. While several approaches can exist to determine these proportions, this method provides a natural approximation to the problem that can be interpreted as the distribution of the mass or proportion of each clone between itself and its descendants.

The parameters of the Dirichlet distribution depend on the tumor’s evolution model. In this work, we consider two fundamental cases: positive selection-driven evolution and neutral evolution. In positive selection-driven evolution, certain mutations confer a growth advantage, while most mutations do not. As a result, the clones carrying these advantageous mutations outcompete other clones and dominate the tumor. Consequently, tumors are predominantly composed of a few dominant clones, with the remaining clones present in too small proportions. Under neutral evolution, instead, there is no significant number of mutations that provide a fitness advantage, and clones accumulate solely due to tumor progression. As a result, all clones are present in similar proportions (Davis et al. 2017).

Based on this, all the parameters for the Dirichlet distribution for positive selection-driven evolution are set to 0.3. For neutral evolution, the parameter corresponding to the parent node (\(\alpha_{p}\)) is set to 5, and the parameters corresponding to the children node(s) (\(\alpha_{c}\)) are set to 10. Different alpha values are used for parent and children nodes in neutral evolution to ensure that clones arising late in the evolution do not end up with proportions that are too small solely due to their position in the topology, preventing the deviation from the expected clone proportion distribution for this type of evolution model. These values have been chosen empirically, and their effect is illustrated in Figure 1, which shows how 5,000 random samples from the mentioned Dirichlet distributions (for the particular case of 3 dimensions, i.e., one parent and two children nodes) are distributed. As observed, in the case of positive selection (\(\alpha_{i} = \alpha_{j} = \alpha_{k} = 0.3\)), the \((x_i, x_j, x_k)\) values are equally pushed towards the three corners of the simplex. In other words, the samples tend to be sparse, with typically one component having a large value and the rest close to 0. Instead, when neutral selection is adopted (\(\boldsymbol{\alpha}\) = (5, 10, 10)), the \((x_i, x_j, x_k)\) values concentrate close to the center of the simplex, but with a tendency to deviate towards those components with larger \(\alpha\) value. This means that samples \((x_i, x_j, x_k)\) are less sparse in neutral evolution, with larger values for \(x_2\) and \(x_3\) in this case, which represent the children nodes.

Ternary density plots of 5,000 samples drawn from two 3-dimensional Dirichlet distributions. The parameters of the Dirichlet distribution on the left are $\alpha = (0.3, 0.3, 0.3)$ and the distribution is used to represent positive selection-driven evolution. The distribution on the right has parameters $\alpha = (5, 10, 10)$ and is used to represent neutral evolution. Samples drawn from these distributions (or their generalization to higher spaces) are used to calculate clone proportions in each tree multifurcation.

Figure 1: Ternary density plots of 5,000 samples drawn from two 3-dimensional Dirichlet distributions. The parameters of the Dirichlet distribution on the left are \(\alpha = (0.3, 0.3, 0.3)\) and the distribution is used to represent positive selection-driven evolution. The distribution on the right has parameters \(\alpha = (5, 10, 10)\) and is used to represent neutral evolution. Samples drawn from these distributions (or their generalization to higher spaces) are used to calculate clone proportions in each tree multifurcation.

Taking into account that marginalizing the Dirichlet distribution results in a Beta distribution, the proportion of the clone \(v_i \in V_n \; | \; v_i \neq \mathcal R(T)\) in the tumor, denoted as \(C_i\), follows the distribution:

\[C_i \sim C_{\mathcal P(v_i)} \cdot \Gamma_i \cdot \Gamma_i^\prime\]

where

\[\Gamma_i \sim Beta(\alpha_{c}, \alpha_{p} + \alpha_{c} \cdot (|\mathcal K(\mathcal P(v_i))| - 1))\]

and

\[\begin{aligned} \Gamma_i^\prime = 1 \quad \text{if } |\mathcal K(v_i)| = 0 \\ \Gamma_i^\prime \sim Beta(\alpha_{p}, \alpha_{c} \cdot |\mathcal K(v_i)|) \quad \text{if } |\mathcal K(v_i)| \neq 0 \end{aligned}\]

For the case where \(v_i = \mathcal R(T)\), the root node, \(C_i\), follows:

\[C_i \sim Beta(\alpha_{p}, \alpha_{c} \cdot |\mathcal K(v_i)|)\]

Here, \(\alpha_{p}\) and \(\alpha_{c}\) are the parameters of the Dirichlet distribution assigned to parent and child nodes, respectively.

To complete the tumor model, the tumor blend is simulated, which represents the degree of physical mixing between the tumor clones. In order to do this, we simplify the spatial distribution to one dimension and model the tumor as a Gaussian mixture model with \(n\) components, where each component \(G_i\) represents a tumor clone, and the mixture weights are given by \(\boldsymbol{c}\). The variance for all components is set to 1, while the mean values are random variables.

Specifically, we start by selecting a random clone, and its component’s mean value is set to 0. Then, the mean values of the remaining \(n - 1\) components are calculated sequentially by adding \(d\) units to the mean value of the previous component. To introduce variability in the tumor blend, the value of \(d\) is chosen from the set \(\{0, 0.1, \ldots, 4\}\). For \(d\) = 0, the two clones are completely mixed, while for \(d\) = 4, they are physically far apart from each other. The choice of the upper limit for \(d\) has been determined empirically, considering that with this value, the overlapping area between the two clones becomes negligible.

To ensure the separation between the clones is random and that most of the time the separation is small, we use an exponential-like distribution with the form \(Beta(\alpha=1, \beta=X)\) to sample the values of \(d\). Specifically, we set \(\beta = 5\) to ensure that the samples obtained from the mixture are not excessively sparse. We can express this mathematically as:

\[D \sim 4 \cdot Beta(\alpha=1, \beta=5)\]

Sampling simulation

So far, we have described how the clones of a tumor are modelled by the tumor model. However, in real practice, there is no easy way of observing these global properties of a tumor. Instead, we typically have access to information provided by samples or biopsies. This means that certain tumor characteristics, such as the real clone proportions \(\boldsymbol{c}\), cannot be directly obtained. Instead, we can only determine the sampled clone proportions, which depend on the specific sampling procedure employed. Unless there is a perfectly uniform mixture of the clone cells, their sampled proportions will not match the global proportions. These sampled clone proportions are, in fact, the \(\boldsymbol{u}_{i}.\) elements in the \(\boldsymbol{U}\) matrix.

The sampling simulation we have devised simulates the physical sampling of the tumor and allows us to construct the \(\boldsymbol{U}\) matrix of the problem. This procedure operates on the data simulated using the tumor model. Specifically, it simulates a sampling procedure carried out in a grid manner over the tumor Gaussian mixture model described in the previous section. Let \(G_1\) and \(G_n\) be the components with the lowest and largest mean values, respectively, in the Gaussian mixture model. The 1st and \(m\)th sampling points in the grid are always set to \(\mu_{G_1} - 2.8 \cdot \sigma_{G_1}\) and \(\mu_{G_n} + 2.8 \cdot \sigma_{G_n}\), respectively, and the remaining \(m\)-2 sampling points are determined by dividing the range between these two endpoints into \(m-1\) equal intervals.

The densities of the Gaussian distributions at each sampling point are multiplied by the global proportion of the clones sampled from the Dirichlet distributions, so that for each sampling point \(i\), the fraction of clone \(j\), \(p_{ij}\), is proportional to their product:

\[p_{ij} \propto c_j \cdot \phi_{ij} \label{eq:pij_2} \tag{2}\]

where \(c_j\) is the global proportion of clone \(j\) and \(\phi_{ij}\) is the density of the Gaussian component associated with clone \(j\) at sampling point \(i\).

Finally, to account for the effect of cell count in the samples, a multinomial distribution is used to sample a given number of cells \(n_{c}\) for each tumor sample. In that distribution, the probability of selecting each clone at sampling site \(i\) is given by \((p_{i1}, \ldots, p_{in})\). The resulting values determine the final tumor clone composition in sample \(i\), which are represented in the matrix \(\boldsymbol{U}\):

\[U_{i.} \sim \frac{M(n = n_{c}, p = (p_{i1}, \ldots, p_{in})) }{100}\]

Note that selecting a relatively low value for \(n\) in the multinomial distribution can lead to clones with very low frequencies being modeled as absent in the sample, with composition values equal to 0. This is indeed more realistic than truly observing them with such low frequencies.

Sequencing noise simulation

Up to this point, the \(\boldsymbol{B}\) and \(\boldsymbol{U}\) matrices of an instance have been simulated. In case we are simulating noise-free data, the simulation is complete once Equation (1) is applied to obtain the \(\boldsymbol{F}\) matrix.

As a brief reminder, each element \(f_{ij}\) in \(\boldsymbol{F}\) denotes the frequency or VAF of the mutation \(M_j\) in sample \(i\) or, in other words, the proportion of sequencing reads that carry the mutation \(M_j\) in that particular sample. This also means that the proportion of reads in that sample that do not observe the mutation but instead contain the reference nucleotide is 1 - \(f_{ij}\).

However, empirical factors can artificially alter the VAF value, leading it to deviate from the true ratio between the variant and total allele molecule counts. One of these factors is the noise introduced during the DNA sequencing process itself, which can arise in two main ways. First, limitations of the sequencing instrument can lead to incorrect nucleotide readings of DNA fragments. For example, a position that actually contains nucleotide A may be read as a T. Second, there can be a biased number of reads produced for a particular site, which can result from chemical reaction peculiarities or simply because not all fragments are sequenced. These limitations can, however, be mitigated to some extent. For instance, it has been shown that a high depth of coverage, which refers to the average number of reads that cover each position, can lead to more accurate VAF values (Petrackova et al. 2019).

In order to incorporate the effect of sequencing noise in the data instances, we have developed a procedure to simulate sequencing noise. This procedure introduces noise to the \(\boldsymbol{F}\) matrix and generates a noisy matrix \(\boldsymbol{F^{(n)}}\), where \(\boldsymbol{F^{(n)}} \neq \boldsymbol{U} \cdot \boldsymbol{B}\). The procedure simulates noise at the level of the sequencing reads and recalculates the new \(f^{(n)}_{ij}\) values, as follows.

The sequencing depth \(r\) at the genomic position where \(M_j\) occurs in sample \(i\) is distributed according to a negative binomial distribution:

\[r_{ij} \sim NB(\mu = \mu_{sd}, \alpha = 5) \label{eq:r} \tag{3}\]

where \(\mu_{sd}\) represents the mean sequencing depth, which is the average number of reads covering the genomic position of mutation \(M_j\) in the sample, and \(\alpha\) is the dispersion parameter, which controls the variability of the sequencing depth around the mean and is fixed at 5.

The number of reads supporting the alternate allele \(r^{a}_{ij}\) is then modeled by a binomial distribution:

\[r^{a}_{ij} \sim B(n = r_{ij}, p = f_{ij}) \label{eq:ra} \tag{4}\]

In sequencing data, errors can occur due to limitations inherent to the sequencing methodology. These errors vary depending on the technology used.

To simulate the effect of these errors on the VAF values, the number of reads \(r^{a\prime}_{ij}\) that, despite originally supporting the alternate allele, contain a different allele as a result of a sequencing error, is modeled using a binomial distribution:

\[r^{a\prime}_{ij} \sim B(n = r^{a}_{ij}, p = \varepsilon),\]

where \(\varepsilon\) represents the sequencing error rate.

We also need to consider the situation where the reads contain the reference nucleotide but are read with the alternate allele as a result of this error. This can be better understood with an example. Let’s imagine that at a certain genomic position, the normal cells have a T, but in some cells, there is a mutation where the T has changed to an A. In this case, for the normal cells, with a rate of \(\varepsilon\), a sequencing error may occur, resulting in a read of C, G, or A instead of T, each with an equal chance. Therefore, in approximately \(\frac{\varepsilon}{3}\) of the cases, reads with the mutation of interest will arise from normal reads:

\[r^{r\prime}_{ij} \sim B(n = r_{ij} - r^{a}_{ij}, p = \frac{\varepsilon}{3}) \label{eq:ramr} \tag{5}\]

Thus, taking all these into consideration, the final noisy VAF values \(f^{(n)}_{ij}\) are simulated as:

\[f^{(n)}_{ij} = \frac{r^{a}_{ij} - r^{a\prime}_{ij} + r^{r\prime}_{ij}}{r_{ij}} \label{eq:noisyVAF} \tag{6}\]

By default, the sequencing error rate \(\varepsilon\) is set to 0.001, following commonly reported values for Illumina data (Loman et al. 2012).

As an illustration of the effect of the noise model, in Figure 2, we have depicted the density of the mean absolute error between the \(\boldsymbol{F^{(n)}}\) matrix and its corresponding noise-free \(\boldsymbol{F}\) matrix for a collection of noisy instances. As can be seen, as \(\mu_{sd}\) increases, the error introduced to the \(\boldsymbol{F^{(n)}}\) matrix decreases. This is expected because the \(r^{a}_{ij}\) values follow a binomial distribution as described in Equation (4), where the number of trials is determined by \(\mu_{sd}\) as shown in Equation (3), and the event probability corresponds to the \(f^{(n)}_{ij}\) value. Therefore, the larger the number of trials, the closer the noisy VAF value is to the noise-free VAF value.

Density of the mean absolute error in noisy $\boldsymbol{F}$ matrices for different $\mu_{sd}$ values that correspond to different noise levels.

Figure 2: Density of the mean absolute error in noisy \(\boldsymbol{F}\) matrices for different \(\mu_{sd}\) values that correspond to different noise levels.

As a final remark, it is important to note that although our data simulation procedure follows the ISA, the addition of noise may cause the resulting data to break this assumption.

3 The package

GeRnika provides three main functionalities for studying tumor evolution data: (I) simulating artificial tumor evolution, (II) visualizing tumor phylogenies, and (III) comparing tumor phylogenies. This section explains the functions that support these features. Additionally, we describe extra data provided by GeRnika that users can use to try the methods in the package.

Simulation methods

To enable users to simulate tumor evolution data, GeRnika provides various functions inspired by the methods described in 2. GeRnika offers two options: a single method for streamlined simulations and separate methods for performing each step individually, allowing users to customize or replace specific parts of the process.

create_instance

The main function for streamlined tumor data simulation is create_instance. This function provides a convenient way to perform the entire simulation process in a single step. The following command demonstrates how to use it to generate the artificial data:

    create_instance(n, m, k, selection, noisy = TRUE, depth = 30, seed = Sys.time())

where each argument of the method is described as follows:

  • n: An integer representing the number of clones.

  • m: An integer representing the number of samples.

  • k: A numeric value that determines the linearity of the tree topology. Also referred to as the topology parameter. Increasing values of this parameter increase the linearity of the topology. When k is set to 1, all nodes have equal probabilities of being chosen as parents, resulting in a uniformly random topology.

  • selection: A character string representing the evolutionary mode the tumor follows. This should be either "positive" or "neutral".

  • noisy: A logical value (TRUE by default) indicating whether to add noise to the frequency matrix. If TRUE, noise is added to the frequency matrix. If FALSE, no noise is added.

  • depth: A numeric value (30 by default) representing the mean depth of sequencing.

  • seed: A numeric value (Sys.time() by default) used to set the seed for the random number generator.

The create_instance function returns a list containing the following components:

  • F_noisy: A matrix representing the noisy frequencies of each mutation across samples. If the noisy parameter is set to FALSE, this matrix is equal to F_true.

  • B: A matrix representing the relationships between mutations and clones in the tumor.

  • U: A matrix representing the frequencies of the clones across the set of samples.

  • F_true: A matrix representing the noise-free frequencies of each mutation across the samples.

As explained, the create_instance function generates all matrices representing frequencies, proportions, and the phylogeny of the simulated tumor data in a single step. However, GeRnika also provides individual functions for simulating each of these elements independently, providing users with greater control over the characteristics of the simulated tumor data.

create_B, create_U, create_F and add_noise

These methods provide specialized functions to generate each matrix involved in representing tumor evolution data. These functions include the following:

  • create_B: This function generates a mutation matrix (\(\boldsymbol{B}\) matrix) for a tumor phylogenetic tree with a given number of nodes and a value k determining the linearity of the tree topology.

  • create_U: This function calculates the \(\boldsymbol{U}\) matrix, containing the frequencies of each clone in a set of samples, based on a \(\boldsymbol{B}\) matrix, the number of samples considered, the number of cells in each sample, and the evolutionary mode of the tumor.

  • create_F: This function generates the \(\boldsymbol{F}\) matrix, which contains mutation frequency values for a series of mutations across a collection of tumor biopsies or samples. The matrix is computed based on a pair of matrices, \(\boldsymbol{U}\) and \(\boldsymbol{B}\), and considers whether the mutations are heterozygous.

  • add_noise: This function introduces sequencing noise into the noise-free \(\boldsymbol{F}\) matrix generated by the create_F method. Users can specify the mean sequencing depth and the overdispersion parameter, which are used to simulate sequencing depth based on a negative binomial distribution.

The reader is encouraged to refer to the package documentation for more information about these functions and their parameters.

Visualization methods

The following functions enable the visualization of tumor evolution data by generating phylogenetic trees based on the data under analysis.

Phylotree S4 class

To simplify the execution of its functionalities, GeRnika utilizes the "Phylotree" class. The "Phylotree" S4 class is a data structure specifically designed to represent phylogenetic trees, facilitating the use of the package’s methods and ensuring their computational efficiency. The attributes of the "Phylotree" class are as follows:

  • B: A data.frame containing the square matrix that represents the ancestral relationships among the clones in the phylogenetic tree (\(\boldsymbol{B}\) matrix).

  • clones: A vector representing the indices of the clones in the \(\boldsymbol{B}\) matrix.

  • genes: A vector indicating the index of the gene that firstly mutated in each clone within the \(\boldsymbol{B}\) matrix.

  • parents: A vector indicating the parent clones for each clone in the phylogenetic tree.

  • tree: A "Node" class object representing the phylogenetic tree (this class is inherited from the data.tree package).

  • labels: A vector containing the gene tags associated with the nodes in the phylogenetic tree.

A customized "Phylotree" class object can be instantiated with custom attributes using the create_instance method. This method takes all the attributes according to the "Phylotree" class as arguments. Alternatively, GeRnika provides a function that automatically generates a "Phylotree" class object on the basis of a given \(\boldsymbol{B}\).

B_to_phylotree

In order to instantiate an object of the “Phylotree” class, the following command can be used:

    B_to_phylotree(B, labels = NA)

where each argument of the method is described as follows:

  • B: A square \(\boldsymbol{B}\) matrix that represents the phylogenetic tree.

  • labels: An optional vector containing the tags of the genes in the phylogenetic tree. NA by default.

This function returns an object of the "Phylotree" class, automatically generating its attributes based on B, which represents the phylogenetic tree of the tumor under analysis.

Once instantiated, the phylogenetic tree in a "Phylotree" class object can be visualized using the generic plot function, which takes the "Phylotree" object as its argument. The plot function also includes a labels argument that can be set to TRUE to display node labels on the phylogenetic tree, using the gene tags stored within the "Phylotree" object.

The GeRnika package provides the plot_proportions function for visualizing phylogenetic trees, with node sizes and colors reflecting the proportions of each clone. This function requires two inputs: a "Phylotree" class object representing the phylogenetic tree and a numeric vector or matrix specifying clone proportions. If a vector is provided, a single tree is plotted, with the node sizes and colors determined by the values in the vector. Instead, if a matrix is provided, such as the \(\boldsymbol{U}\) matrix that represents the frequencies of clones across samples, the function plots one tree for each row of the matrix. Each tree is generated based on the clone proportions specified in the corresponding row. Additionally, users can enable node labeling by setting the labels argument to TRUE, which annotates the tree nodes with gene tags from the "Phylotree" object.

Comparison methods

This section describes the methods included in GeRnika that facilitate the comparison of tumor phylogenies.

A fundamental approach for comparing two phylogenetic trees is to determine if their evolutionary histories are equivalent. The equals function performs this comparison by accepting two "Phylotree" class objects as arguments. This function returns a boolean value indicating whether the provided phylogenetic trees are equivalent.

To analyze similarities and differences between two phylogenetic trees, the find_common_subtrees function identifies and plots all maximal common subtrees between them. In addition to visualizing these subtrees, the function outputs the number of shared and unique edges (those present in only one of the trees) and calculates the distance between the trees, defined as the sum of their unique edges. This method also includes an option to label the maximal common subtrees with gene tags by setting labels = TRUE.

The combine_trees function generates a consensus tree by combining the nodes and edges of two "Phylotree" class objects. The consensus tree highlights the nodes and edges that form common subtrees between the original trees, as well as the independent edges unique to each tree, which are displayed with reduced opacity. This method also allows labeling the nodes with gene tags by setting labels = TRUE and customizing the colors of the consensus tree by passing a 3-element hexadecimal vector to the palette argument.

Exported data

GeRnika provides various exported data instances to help users easily explore the package’s functionalities. These are as follows:

4 Examples

In this section we show examples of the use of the methods explained in 3. Please note that in the following examples, we will set the seeds of non-deterministic methods to a predefined value to ensure reproducibility.

Simulating tumor evolution data

The simulation of tumor clonal data involves generating the matrices \(\boldsymbol{B}\), \(\boldsymbol{U}\), \(\boldsymbol{F}\), and \(\boldsymbol{F^{(n)}}\) associated with a specific instance. For example, we can simulate a noisy instance of a tumor composed of 5 clones/mutations, which has evolved under neutral evolution with a \(k\) value of 0.5, and from which 3 samples have been taken in a single line of code, as follows:


> I <- create_instance(n = 5, m = 3, k = 0.5, selection = "neutral", seed = 1)
> I

$F_noisy
         mut1       mut2      mut3      mut4      mut5
sample1 1.000 0.09090909 0.0000000 0.2777778 0.3548387
sample2 1.000 0.20000000 0.2631579 0.8536585 0.2000000
sample3 0.975 0.03846154 1.0000000 1.0000000 0.0000000

$B
       mut1 mut2 mut3 mut4 mut5
clone1    1    0    0    0    0
clone2    1    1    0    1    0
clone3    1    0    1    1    0
clone4    1    0    0    1    0
clone5    1    0    0    1    1

$U
        clone1 clone2 clone3 clone4 clone5
sample1   0.59   0.13   0.00   0.01   0.27
sample2   0.13   0.27   0.24   0.19   0.17
sample3   0.00   0.04   0.89   0.07   0.00

$F_true
        mut1 mut2 mut3 mut4 mut5
sample1    1 0.13 0.00 0.41 0.27
sample2    1 0.27 0.24 0.87 0.17
sample3    1 0.04 0.89 1.00 0.00

Using this approach, the previously mentioned four matrices are simulated. Note that the noise-free \(\boldsymbol{F}\) matrix is referred to as F_true in the package’s code, while the noisy \(\boldsymbol{F^{(n)}}\) is denoted as F_noisy.

The previous method allows users to generate instances easily and quickly. However, some users may require more precise control over the data, which can be achieved using the create_B, create_U, create_F, and add_noise methods. For examples on how to use these methods, please refer to the package documentation.

Visualizing tumor phylogenies

Once the matrices associated with our tumor instance have been generated, we can create a "Phylotree" class object, as follows:

> phylotree <- B_to_phylotree(B = I$B)
> phylotree

An object of class "Phylotree"
Slot "B":
       mut1 mut2 mut3 mut4 mut5
clone1    1    0    0    0    0
clone2    1    1    0    1    0
clone3    1    0    1    1    0
clone4    1    0    0    1    0
clone5    1    0    0    1    1

Slot "clones":
mut1 mut2 mut3 mut4 mut5 
   1    2    3    4    5 

Slot "genes":
mut1 mut2 mut3 mut4 mut5 
   1    2    3    4    5 

Slot "parents":
[1] -1  4  4  1  4

Slot "tree":
  levelName
1 1        
2  °--4    
3      ¦--2
4      ¦--3
5      °--5

Slot "labels":
[1] "mut1" "mut4" "mut2" "mut3" "mut5"

Since no list of tags is provided to the labels parameter, a default set of labels is automatically assigned to the instantiated "Phylotree" class object.

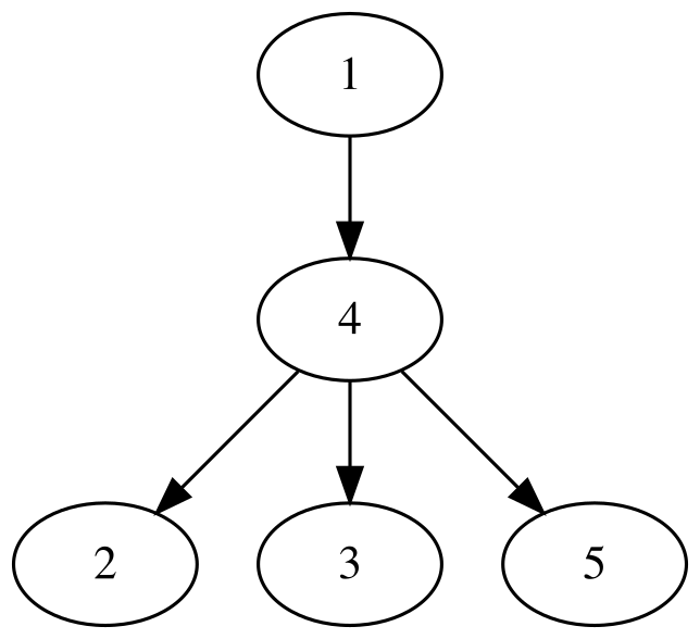
Afterwards, we can visualize the tumor phylogeny associated to the simulated \(\boldsymbol{B}\) matrix by using the generic plot method, as follows:

> plot(phylotree)
Phylogenetic tree associated to the generated 'Phylotree' class object.

Figure 3: Phylogenetic tree associated to the generated ‘Phylotree’ class object.

The resulting plot is shown in Figure 3. Instead of clone numbers, the user can utilize the predefined tags in the "Phylotree" class object to label the nodes in the tree by setting the labels = TRUE parameter in the plot function.

When plotting a "Phylotree" class object, its nodes can be resized according to the proportions of the clones that compose the tumor samples. To achieve this, we can use the \(\boldsymbol{U}\) matrix from the previously generated instance to determine the proportions of the clones, as shown below:

> plot_proportions(phylotree, I$U, labels = TRUE)
Phylogenetic trees associated to the generated 'Phylotree' class object, using the proportions associated to the previously generated $\boldsymbol{U}$ matrix.

Figure 4: Phylogenetic trees associated to the generated ‘Phylotree’ class object, using the proportions associated to the previously generated \(\boldsymbol{U}\) matrix.

The resulting plot is shown in Figure 4. This method plots the proportions of the \(\boldsymbol{U}\) matrix, where each tree represents a sample from the \(\boldsymbol{U}\) matrix, illustrating the proportion of each clone within that specific sample. In this case, we have set the labels parameter to TRUE to label the nodes in the tree using the predefined tags "mut1", "mut4", "mut2", "mut3", and "mut5".

Comparing tumor phylogenies

Now, we present examples showing the use of GeRnika’s functionalities for comparing tumor phylogenies. For this purpose, we will use the B_mats object included in the GeRnika package, which contains 10 \(\boldsymbol{B}\) matrix trios. Specifically, we will use the first trio of matrices, and set a predefined set of tags for the clones in the trees:

> B_mats <- GeRnika::B_mats

> B_real <- B_mats[[1]]$B_real
> B_alg1 <- B_mats[[1]]$B_alg1
> B_alg2 <- B_mats[[1]]$B_alg2

> tags <- c("TP53", "KRAS", "PIK3CA", "APC", "EGFR", "BRCA1", "PTEN", "BRAF", 
            "MYC", "CDKN2A")

> phylotree_real <- B_to_phylotree(B = B_real, labels = tags)
> phylotree_alg2 <- B_to_phylotree(B = B_alg2, labels = tags)
> phylotree_alg1 <- B_to_phylotree(B = B_alg1, labels = tags)

> plot(phylotree_real, labels=TRUE)
> plot(phylotree_alg1, labels=TRUE)
> plot(phylotree_alg2, labels=TRUE)

The plots of the three instantiated Phylotree class objects are depicted in Figure 5.

`phylotree_real`, `phylotree_alg1` and `phylotree_alg2`, from the left to the right.

Figure 5: phylotree_real, phylotree_alg1 and phylotree_alg2, from the left to the right.

We can check if the phylogenies of two tumors are equivalent using the equals method:

> equals(phylotree_1 = phylotree_real, phylotree_2 = phylotree_alg1)
[1] FALSE

> equals(phylotree_1 = phylotree_real, phylotree_2 = phylotree_real)
[1] TRUE

In this case, phylotree_real and phylotree_alg1 are not identical, as some edges present in phylotree_real are absent in phylotree_alg1, and vice versa. However, a phylogenetic tree will always be identical to itself, as shown when comparing phylotree_real to itself.

To find the maximal common subtrees between two phylogenetic trees, we do it using the following command:

> find_common_subtrees(phylotree_1 = phylotree_real, phylotree_2 = phylotree_alg2, 
                       labels = TRUE)

Independent edges of tree1: 2

Independent edges of tree2: 2

Common edges: 7

Distance: 4
Maximal common subtrees between `phylotree_real` and `phylotree_alg2` using predefined tags. In this case, there exists a single common subtree, but there may exist more in other cases.

Figure 6: Maximal common subtrees between phylotree_real and phylotree_alg2 using predefined tags. In this case, there exists a single common subtree, but there may exist more in other cases.

Consensus tree between `phylotree_real` and `phylotree_alg1` using the *Lancet* palette and predefined tags.

Figure 7: Consensus tree between phylotree_real and phylotree_alg1 using the Lancet palette and predefined tags.

The maximal common subtrees (in this case, one subtree) between phylotree_real and
phylotree_alg2 are shown in Figure 6. Note that the clones in the maximal common subtree are represented by the predefined tags in the Phylotree class objects as we have set labels = TRUE. Additionally, this method prints the number of common and independent edges of the trees, along with the distance between them.

Finally, we generate the consensus tree between two phylogenetic trees using one of the custom palettes offered by GeRnika, specifically the Lancet palette, and the predefined tags for the clones as follows:

> palette <- GeRnika::palettes$Lancet

> consensus_real_alg1 <- combine_trees(phylotree_1 = phylotree_real, 
                                      phylotree_2 = phylotree_alg1,
                                      labels = TRUE, 
                                      palette = palette)

> DiagrammeR::render_graph(consensus_real_alg1)

The consensus tree between phylotree_real and phylotree_alg1 is depicted in Figure 7. Here, the nodes and the edges that compose the common subtrees between the original trees are green. In addition, pink edges denote the independent edges of the tree passed as the first parameter of the method, while blue edges represent the independent edges of the second tree. Note that the independent edges of both trees are presented with translucent colors.

5 Conclusions

GeRnika is a comprehensive R package designed to address a critical gap in the tools available for studying tumor evolution within the R environment. To this end, it provides researchers with an integrated suite for simulating, visualizing, and comparing tumor phylogenies. Unlike many existing tools, GeRnika is fully implemented in R, making it particularly accessible for the bioinformatics community, which widely relies on R for data analysis and visualization.

One of GeRnika’s key contributions is providing tools to generate biologically plausible datasets for studying intratumoral heterogeneity and clonal dynamics. With varied, easily customizable parameters—controlling features such as clonal tree topology, selective pressures, and sequencing noise—GeRnika enables exploration of a wide range of evolutionary patterns and complexities that provide a valuable resource for testing new methods and hypotheses in tumor heterogeneity research.

Beyond its core simulation features, GeRnika includes tools for visualizing and comparing tumor phylogenies, offering a unified solution that eliminates the need for multiple packages or complex data processing workflows. Future work will focus on enhancing GeRnika’s compatibility with other R packages related to tumor evolution, allowing for easier integration with existing resources.

Overall, GeRnika provides an accessible, user-friendly tool that supports research into intratumoral heterogeneity, with the potential to substantially advance tumor phylogeny research. While it does not perform clonal deconvolution or phylogeny inference from real sequencing data, GeRnika serves as a valuable platform for simulation, visualization, and benchmarking, supporting the development and evaluation of such algorithms.

6 R software

The R package GeRnika is now available on CRAN.

7 Supplementary materials

Supplementary materials are available in addition to this article. It can be downloaded at RJ-2025-042.zip

8 CRAN packages used

GeRnika, data.tree

9 CRAN Task Views implied by cited packages

10 Bioconductor packages used

clevRvis

11 Note

This article is converted from a Legacy LaTeX article using the texor package. The pdf version is the official version. To report a problem with the html, refer to CONTRIBUTE on the R Journal homepage.

R. Burrell, N. Mcgranahan, J. Bartek and C. Swanton. The causes and consequences of genetic heterogeneity in cancer evolution. Nature, 501: 338–45, 2013. DOI 10.1038/nature12625.
H. Dang, B. White, S. Foltz, C. Miller, J. Luo, R. Fields and C. Maher. ClonEvol: Clonal ordering and visualization in cancer sequencing. Annals of Oncology, 28(12): 3076–3082, 2017. DOI 10.1093/annonc/mdx517.
A. Davis, R. Gao and N. Navin. Tumor evolution: Linear, branching, neutral or punctuated? Biochimica et Biophysica Acta (BBA)-Reviews on Cancer, 1867(2): 151–161, 2017. DOI 10.1016/j.bbcan.2017.01.003.
A. G. Deshwar, S. Vembu, C. K. Yung, G. H. Jang, L. Stein and Q. Morris. PhyloWGS: Reconstructing subclonal composition and evolution from whole-genome sequencing of tumors. Genome Biology, 16(1): 1–20, 2015. DOI 10.1186/s13059-015-0602-8.
M. El-Kebir, L. Oesper, H. Acheson-Field and B. J. Raphael. Reconstruction of clonal trees and tumor composition from multi-sample sequencing data. Bioinformatics, 31(12): 62–70, 2015. DOI 10.1093/bioinformatics/btv261.
M. El-Kebir, G. Satas, L. Oesper and B. J. Raphael. Inferring the mutational history of a tumor using multi-state perfect phylogeny mixtures. Cell Systems, 3(1): 43–53, 2016. DOI 10.1016/j.cels.2016.07.004.
M. El-Kebir, G. Satas and B. J. Raphael. Inferring parsimonious migration histories for metastatic cancers. Nature Genetics, 50(5): 718–726, 2018. DOI 10.1038/s41588-018-0106-z.
X. Fu, H. Lei, Y. Tao and R. Schwartz. Reconstructing tumor clonal lineage trees incorporating single-nucleotide variants, copy number alterations and structural variations. Bioinformatics, 38(Supplement_1): i125–i133, 2022. DOI 10.1093/bioinformatics/btac253.
X. Fu and R. Schwartz. ConTreeDP: A consensus method of tumor trees based on maximum directed partition support problem. In 2021 IEEE international conference on bioinformatics and biomedicine (BIBM), pages. 125–130 2021. IEEE. DOI 10.1101/2021.10.13.463978.
K. Grigoriadis, A. Huebner, A. Bunkum, E. Colliver, A. M. Frankell, M. S. Hill, K. Thol, N. J. Birkbak, C. Swanton, S. Zaccaria, et al. CONIPHER: A computational framework for scalable phylogenetic reconstruction with error correction. Nature Protocols, 19(1): 159–183, 2024. DOI 10.1038/s41596-023-00913-9.
Z. Guang, M. Smith-Erb and L. Oesper. A weighted distance-based approach for deriving consensus tumor evolutionary trees. Bioinformatics, 39(Supplement_1): i204–i212, 2023. DOI 10.1093/bioinformatics/btad230.
D. Gusfield. Efficient algorithms for inferring evolutionary trees. Networks, 21(1): 19–28, 1991. DOI 10.1002/net.3230210104.
E. Husić, X. Li, A. Hujdurović, M. Mehine, R. Rizzi, V. Mäkinen, M. Milanič and A. I. Tomescu. MIPUP: Minimum perfect unmixed phylogenies for multi-sampled tumors via branchings and ILP. Bioinformatics, 35(5): 769–777, 2019. DOI 10.1093/bioinformatics/bty683.
Y. Jiang, Y. Qiu, A. J. Minn and N. R. Zhang. Assessing intratumor heterogeneity and tracking longitudinal and spatial clonal evolutionary history by next-generation sequencing. Proceedings of the National Academy of Sciences, 113(37): E5528–E5537, 2016. DOI 10.1073/pnas.1522203113.
M. Kimura. The number of heterozygous nucleotide sites maintained in a finite population due to steady flux of mutations. Genetics, 61(4): 893, 1969. DOI 10.1093/genetics/61.4.893.
E. Kulman, J. Wintersinger and Q. Morris. Reconstructing cancer phylogenies using Pairtree, a clone tree reconstruction algorithm. STAR Protocols, 3(4): 101706, 2022. DOI 10.1016/j.xpro.2022.101706.
N. J. Loman, R. V. Misra, T. J. Dallman, C. Constantinidou, S. E. Gharbia, J. Wain and M. J. Pallen. Performance comparison of benchtop high-throughput sequencing platforms. Nature Biotechnology, 30(5): 434–439, 2012. DOI 10.1038/nbt.2198.
S. Malikic, A. W. McPherson, N. Donmez and C. S. Sahinalp. Clonality inference in multiple tumor samples using phylogeny. Bioinformatics, 31(9): 1349–1356, 2015. DOI 10.1093/bioinformatics/btv003.
S. Malikic, F. R. Mehrabadi, S. Ciccolella, M. K. Rahman, C. Ricketts, E. Haghshenas, D. Seidman, F. Hach, I. Hajirasouliha and S. C. Sahinalp. PhISCS: A combinatorial approach for subperfect tumor phylogeny reconstruction via integrative use of single-cell and bulk sequencing data. Genome research, 29(11): 1860–1877, 2019. DOI 10.1101/gr.234435.118.
F. Marass, F. Mouliere, K. Yuan, N. Rosenfeld and F. Markowetz. A phylogenetic latent feature model for clonal deconvolution. The Annals of Applied Statistics, 10: 2377–2404, 2016. DOI 10.1214/16-AOAS986.
C. A. Miller, J. McMichael, H. X. Dang, C. A. Maher, L. Ding, T. J. Ley, E. R. Mardis and R. K. Wilson. Visualizing tumor evolution with the fishplot package for R. BMC Genomics, 17: 1–3, 2016. DOI 10.1186/s12864-016-3195-z.
M. A. Myers, G. Satas and B. J. Raphael. CALDER: Inferring phylogenetic trees from longitudinal tumor samples. Cell Systems, 8(6): 514–522, 2019. DOI 10.1016/j.cels.2019.05.010.
P. C. Nowell. The clonal evolution of tumor cell populations. Science, 194(4260): 23–28, 1976. DOI 10.1126/science.959840.
A. Petrackova, M. Vasinek, L. Sedlarikova, T. Dyskova, P. Schneiderova, T. Novosad, T. Papajik and E. Kriegova. Standardization of sequencing coverage depth in NGS: Recommendation for detection of clonal and subclonal mutations in cancer diagnostics. Frontiers in Oncology, 9: 851, 2019. DOI 10.3389/fonc.2019.00851.
V. Popic, R. Salari, I. Hajirasouliha, D. Kashef-Haghighi, R. B. West and S. Batzoglou. Fast and scalable inference of multi-sample cancer lineages. Genome Biology, 16(1): 91, 2015. DOI 10.1186/s13059-015-0647-8.
Y. Qi, Y. Luo and M. El-Kebir. OncoLib. GitHub repository, 2019. URL https://github.com/elkebir-group/OncoLib/.
E. M. Ross and F. Markowetz. OncoNEM: Inferring tumor evolution from single-cell sequencing data. Genome biology, 17: 1–14, 2016. DOI 10.1186/s13059-016-0929-9.
S. Sandmann, C. Inserte and J. Varghese. ClevRvis: Visualization techniques for clonal evolution. GigaScience, 12: giad020, 2023. DOI 10.1093/gigascience/giad020.
G. Satas, S. Zaccaria, G. Mon and B. J. Raphael. SCARLET: Single-cell tumor phylogeny inference with copy-number constrained mutation losses. Cell systems, 10(4): 323–332, 2020. DOI 10.1016/j.cels.2020.04.001.
S. Sengupta, J. Wang, J. Lee, P. Müller, K. Gulukota, A. Banerjee and Y. Ji. Bayclone: Bayesian nonparametric inference of tumor subclones using NGS data. In Pacific symposium on biocomputing co-chairs, pages. 467–478 2014. World Scientific. DOI 10.1142/9789814644730_0044.
E. Sollier, J. Kuipers, K. Takahashi, N. Beerenwinkel and K. Jahn. COMPASS: Joint copy number and mutation phylogeny reconstruction from amplicon single-cell sequencing data. Nature communications, 14(1): 4921, 2023. DOI 10.1038/s41467-023-40378-8.
F. Strino, F. Parisi, M. Micsinai and Y. Kluger. TrAp: A tree approach for fingerprinting subclonal tumor composition. Nucleic Acids Research, 41: e165–e165, 2013. DOI 10.1093/nar/gkt641.
G. Tanner, D. R. Westhead, A. Droop and L. F. Stead. Simulation of heterogeneous tumour genomes with HeteroGenesis and in silico whole exome sequencing. Bioinformatics, 35(16): 2850–2852, 2019. DOI 10.1093/bioinformatics/bty1063.
J. Wu and M. El-Kebir. ClonArch: Visualizing the spatial clonal architecture of tumors. Bioinformatics, 36(Supplement_1): i161–i168, 2020. DOI 10.1093/bioinformatics/btaa471.
K. Yuan, T. Sakoparnig, F. Markowetz and N. Beerenwinkel. BitPhylogeny: A probabilistic framework for reconstructing intra-tumor phylogenies. Genome Biology, 16(1): 1–16, 2015. DOI 10.1186/s13059-015-0592-6.

References

Reuse

Text and figures are licensed under Creative Commons Attribution CC BY 4.0. The figures that have been reused from other sources don't fall under this license and can be recognized by a note in their caption: "Figure from ...".

Citation

For attribution, please cite this work as

Sánchez-Ferrera, et al., "GeRnika: An R Package for the Simulation, Visualization and Comparison of Tumor Phylogenies", The R Journal, 2026

BibTeX citation

@article{RJ-2025-042,
  author = {Sánchez-Ferrera, Aitor and Tellaetxe-Abete, Maitena and Calvo-Molinos, Borja},
  title = {GeRnika: An R Package for the Simulation, Visualization and Comparison of Tumor Phylogenies},
  journal = {The R Journal},
  year = {2026},
  note = {https://doi.org/10.32614/RJ-2025-042},
  doi = {10.32614/RJ-2025-042},
  volume = {17},
  issue = {4},
  issn = {2073-4859},
  pages = {256-275}
}